IMDIV関数:複素数の商を取得する

広告

IMDIV 関数は Excel で用意されている関数の一つで、引数に指定した 2 つの複素数の商を取得します。ここでは Excel における IMDIV 関数の使い方について解説します。

※ Excel の対応バージョン : 365 web 2021 2019 2016 2013 2010 2007

※ 公式サイトでの解説 : IMDIV 関数

(Last modified: )

IMDIV関数の使い方

IMDIV 関数は引数で指定した 2 つの複素数の商を取得します。

IMDIV(複素数1,複素数2)

複素数は a + bi または a + bj の形式で指定します。戻り値として 2 つの複素数の商の結果の複素数を文字列として取得します。

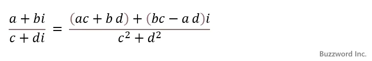
2 つの複素数 a + bi と c + di の商は次のように計算されます。

IMDIV関数の使い方(1)

※ 複素数については「COMPLEX関数:実部と虚部を指定して複素数を作成する」で解説しています。

例えば 1 番目の引数に "4+2i" 、 2 番目の引数に "2+2i" を指定すると、戻り値は "1.5-0.5i" になります。

=IMDIV("4+2i","2+2i")
--> 1.5-0.5i

1 番目の引数に "8+2i" 、 2 番目の引数に "4-4i" を指定すると、戻り値は "0.75+1.25i" になります。

=IMDIV("8+2i","4-4i")
--> 0.75+1.25i

IMDIV関数のサンプル

それでは実際に IMDIV 関数を使ってみます。 Excel のシートに対象の数値を次のように入力しました。

IMDIV関数のサンプル(1)

取得した複素数を表示する D3 セルを選択し、次のように入力しました。 1 番目の引数に B3 セル、 2 番目の引数に C3 セルを指定しています。

=IMDIV(B3,C3)

IMDIV関数のサンプル(2)

Enter キーを押すと、 D3 セルには次のように表示されます。

IMDIV関数のサンプル(3)

D4 セルから D6 セルに対しても同じように IMDIV 関数を入力すると、次のように表示されました。

IMDIV関数のサンプル(4)

関数の挿入を使ってIMDIV関数を入力する

IMDIV 関数を入力する場合に関数の挿入を使って行う方法を試してみます。関数を挿入するセルをクリックして選択したあとで、関数の挿入をクリックします。

関数の挿入を使ってIMDIV関数を入力する(1)

「関数の挿入」ダイアログが表示されたら関数名のところで「IMDIV」をクリックしてください。そのあとで「OK」をクリックしてください。

関数の挿入を使ってIMDIV関数を入力する(2)

「関数の引数」ダイアログが表示されたら、 1 番目の引数に商を計算する最初の複素数が入力されたセルを指定します。 1 番目の引数を入力するテキストボックスをクリックして選択してから引数に入力するセルを Excel 上でクリックして下さい。

関数の挿入を使ってIMDIV関数を入力する(3)

関数の挿入を使ってIMDIV関数を入力する(4)

ダイアログの 1 番目の引数のところに先ほど選択したセルが表示されます。

関数の挿入を使ってIMDIV関数を入力する(5)

次に 2 番目の引数に商を計算する次の複素数が入力されたセルを指定します。 2 番目の引数を入力するテキストボックスをクリックして選択してから引数に入力するセルを Excel 上でクリックして下さい。

関数の挿入を使ってIMDIV関数を入力する(6)

関数の挿入を使ってIMDIV関数を入力する(7)

ダイアログの 2 番目の引数のところに先ほど選択したセルが表示されます。

関数の挿入を使ってIMDIV関数を入力する(8)

引数の指定が終わると結果としてセルに表示される値も表示されます。最後に「OK」をクリックしてください。

関数の挿入を使ってIMDIV関数を入力する(9)

最初に選択したセルに IMDIV 関数が入力され、引数に指定した 1 番目の複素数と 2 番目の複素数の商を取得した結果がセルに表示されます。

関数の挿入を使ってIMDIV関数を入力する(10)

-- --

Excel における IMDIV 関数の使い方について解説しました。

( Written by Tatsuo Ikura )

プロフィール画像

著者 / TATSUO IKURA

これから IT 関連の知識を学ばれる方を対象に、色々な言語でのプログラミング方法や関連する技術、開発環境構築などに関する解説サイトを運営しています。